• Предмет: Физика
  • Автор: mimire
  • Вопрос задан 2 года назад

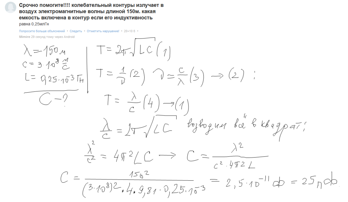
Срочно помогите!!!! колебательный контуры излучает в воздух электромагнитные волны длиной 150м. какая емкость включена в контур если его индуктивность равна 0,25млГн

Ответы

Ответ дал: ГалинаВалентиновна
3
задача на фото в приложенном файле
Приложения:
Вас заинтересует