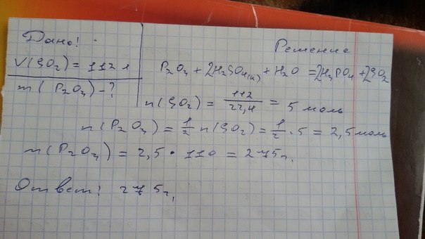
Какая масса оксида фосфора (III) взаимодействовала с избытком концен-трированной серной кислоты, если при этом выделилась 112 л SO2?
Ответы
Ответ дал:
1
Если что то не понятно, то пиши)
Приложения:

Вас заинтересует
2 года назад
2 года назад
2 года назад
2 года назад
7 лет назад
9 лет назад