• Предмет: Алгебра
  • Автор: dap3n
  • Вопрос задан 3 года назад

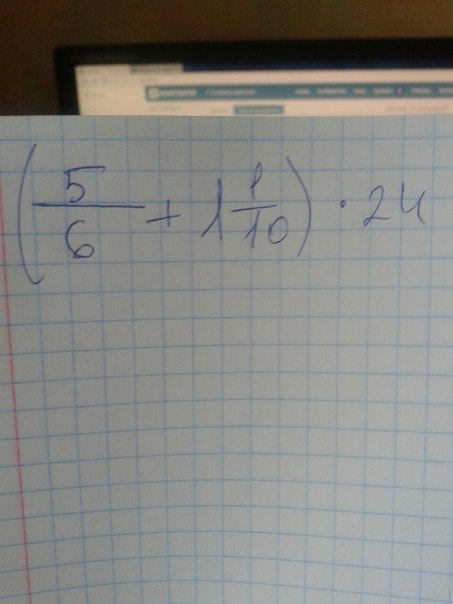
Найдите значение выражения (Помогите пожалуйста!)
(5/6+1 1/10)*24=

Приложения:

Ответы

Ответ дал: dianochkakun69
7
(5/6+1 1/10) *24=(50/60+66/60)*24=116/60*24=29/15*24/1=46 2/5=46.4
Вас заинтересует