• Предмет: Алгебра
  • Автор: ПсихОтаку
  • Вопрос задан 11 лет назад

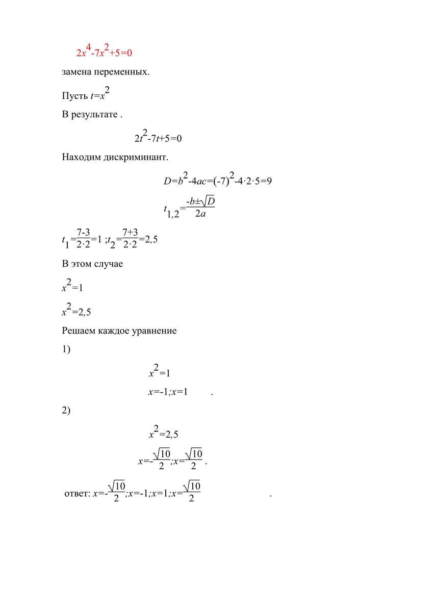
решите уравнение 1) 3х в квадрате - 7х + 5 = 0 2) 2х в четвертой степени - 7х в квадрате + 5 = 0 решите неравенство (х-1)(3-х)(х-2) в квадрате > 0

Ответы

Ответ дал: triolana
0

================================================

Приложения:
Вас заинтересует