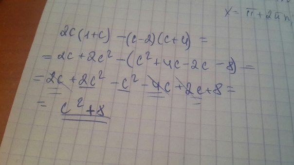
2c ( 1 + c ) - ( c -2) (c + 4 )
ibragim1234mail:
Привет
2c+2c^2-c^2-2c+8
c^2+8=0
с^2=-8 не имеет корней. но я не уверен, так что.. :с
Ответы
Ответ дал:
3
Если не ошибаюсь, то тут не уравнение, а просто упростить выражение . так как в уравнения чаще всего переменная х
Приложения:

Ответ дал:
2
2с+2с^2-(с^2+4с-2с-8)=2с+2с^2-с^2-4с+2с+8=с^2+8
Вас заинтересует
2 года назад
2 года назад
2 года назад
2 года назад
7 лет назад
7 лет назад
9 лет назад