Ответы
Ответ дал:
0
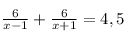
6/(x-1) + 6/(x+1)= 45/10
12x/((x-1)(x+1))=45/10
120x-45(x²-1)=0
45x²-120x-45=0
9x²-24x-9=0
D=900
x1=(24+30)/18=3
x2=(24-30)/18=-1/3
12x/((x-1)(x+1))=45/10
120x-45(x²-1)=0
45x²-120x-45=0
9x²-24x-9=0
D=900
x1=(24+30)/18=3
x2=(24-30)/18=-1/3
Вас заинтересует
2 года назад
2 года назад
2 года назад
7 лет назад
9 лет назад