• Предмет: Математика
  • Автор: fallenfedya
  • Вопрос задан 2 года назад

lim x->5 (x^2-6x+5)/(2x^2-11x+5)

Ответы

Ответ дал: zontik24
1
\lim_{x \to \ 5} \frac{(x^2-6x+5)}{(2x^2-11x+5)} \\ \lim_{x \to \ 5} \frac{(x^2-6x+5)'}{(2x^2-11x+5)'} \\ \lim_{x \to \ 5} \frac{(2x-6)}{(4x-11)}\\ \lim_{x \to \ 5} \frac{(2*5-6)}{(4*5-11)}= \frac{4}{9} \\
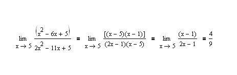
Ответ дал: volic
1
Решение смотрите во вложении
Приложения:
Вас заинтересует