Ответы
Ответ дал:
0
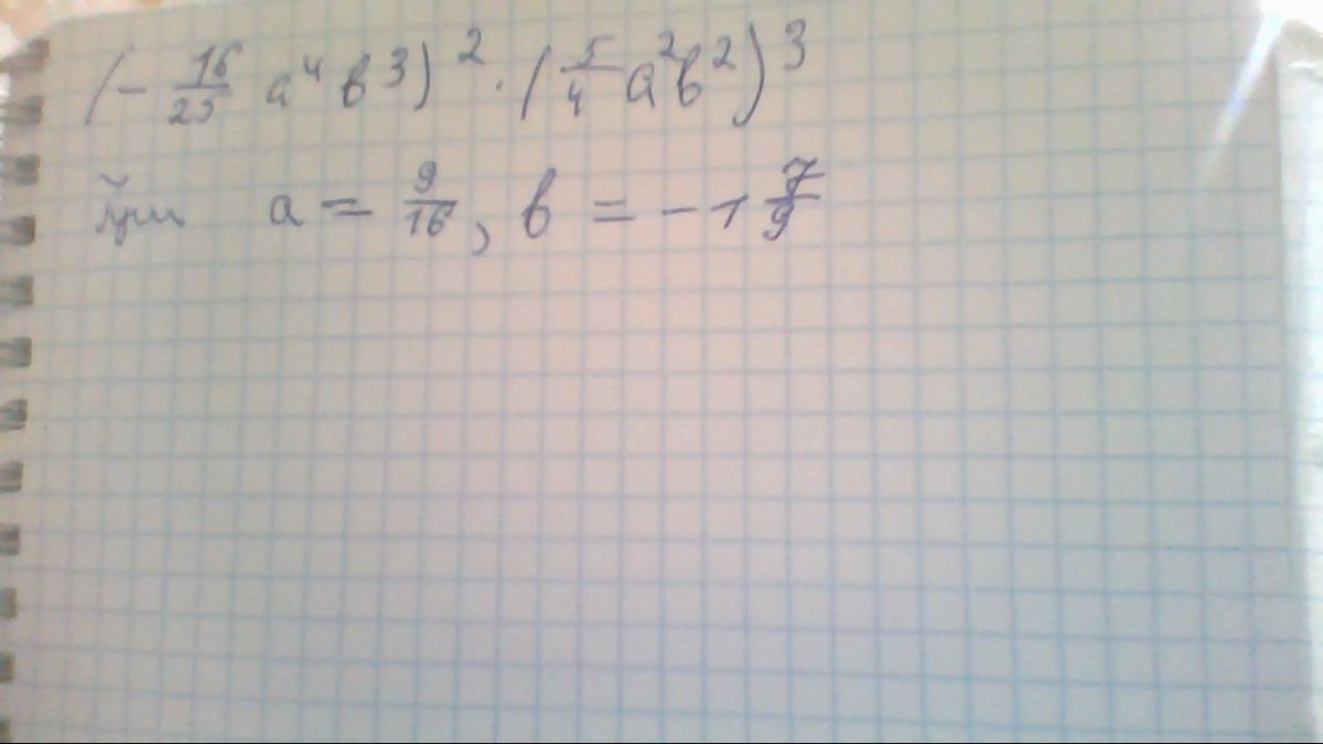
1) ( - ( 16/25 ) A^4 B^3 ) ) ^2 = ( - 0,64 A^4 B^3 ) ^2 = +0,4096 A^8 B^6
2) ( ( 5/4 ) A^2 B^2 )) ^ 3 = ( 1,25 A^2 B^2 ) ^ 3 = 1,953125 A^6 B^6
-------------------------------
( 0,4096A^8B^6 ) * ( 1,953A^6B^6 ) = 0,8 A^14 B^12 = ( 4/5 ) A^14 B^12 =
= ( 4/5 ) * (( AB ) ^ 12 ) * A^2
----------------------------------
A = 9/16 ; B = - 1 ( 7/9 ) = - ( 16/9 )
AB = ( 9/16 ) * ( - 16/9 ) = - 1
( AB ) ^ 12 = + 1
( 4/5 ) * 1 * ( 9/16 )^2 = ( 4/5 ) * ( 81/256 ) = 81/320 = 0,253125
-------------------------------------
ОТВЕТ ( 81/320 ) или 0,253125
2) ( ( 5/4 ) A^2 B^2 )) ^ 3 = ( 1,25 A^2 B^2 ) ^ 3 = 1,953125 A^6 B^6
-------------------------------
( 0,4096A^8B^6 ) * ( 1,953A^6B^6 ) = 0,8 A^14 B^12 = ( 4/5 ) A^14 B^12 =
= ( 4/5 ) * (( AB ) ^ 12 ) * A^2
----------------------------------
A = 9/16 ; B = - 1 ( 7/9 ) = - ( 16/9 )
AB = ( 9/16 ) * ( - 16/9 ) = - 1
( AB ) ^ 12 = + 1
( 4/5 ) * 1 * ( 9/16 )^2 = ( 4/5 ) * ( 81/256 ) = 81/320 = 0,253125
-------------------------------------
ОТВЕТ ( 81/320 ) или 0,253125
Вас заинтересует
2 года назад
2 года назад
2 года назад
2 года назад
9 лет назад