• Предмет: Математика
  • Автор: natapalmira1
  • Вопрос задан 3 года назад

Решите пожалусто ?)и решение ответ

Приложения:

Ответы

Ответ дал: mariam02050205
0
5/8-1=-3/8
-1/6*4,2=-2/3
-3/8-(-2/3)=7/24
Ответ дал: Nastya171167
0
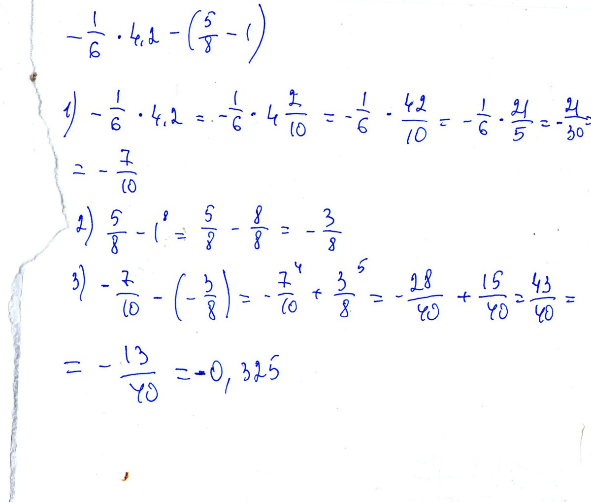
смотри решение во вложении
ответ  - 13/40= - 0,325
Приложения:
Вас заинтересует