• Предмет: Математика
  • Автор: nasty1284623
  • Вопрос задан 3 года назад

a)(1 oдн. Целое-2/3)*(4/5-3/4)
б) 5/11*(4/5-11/15)
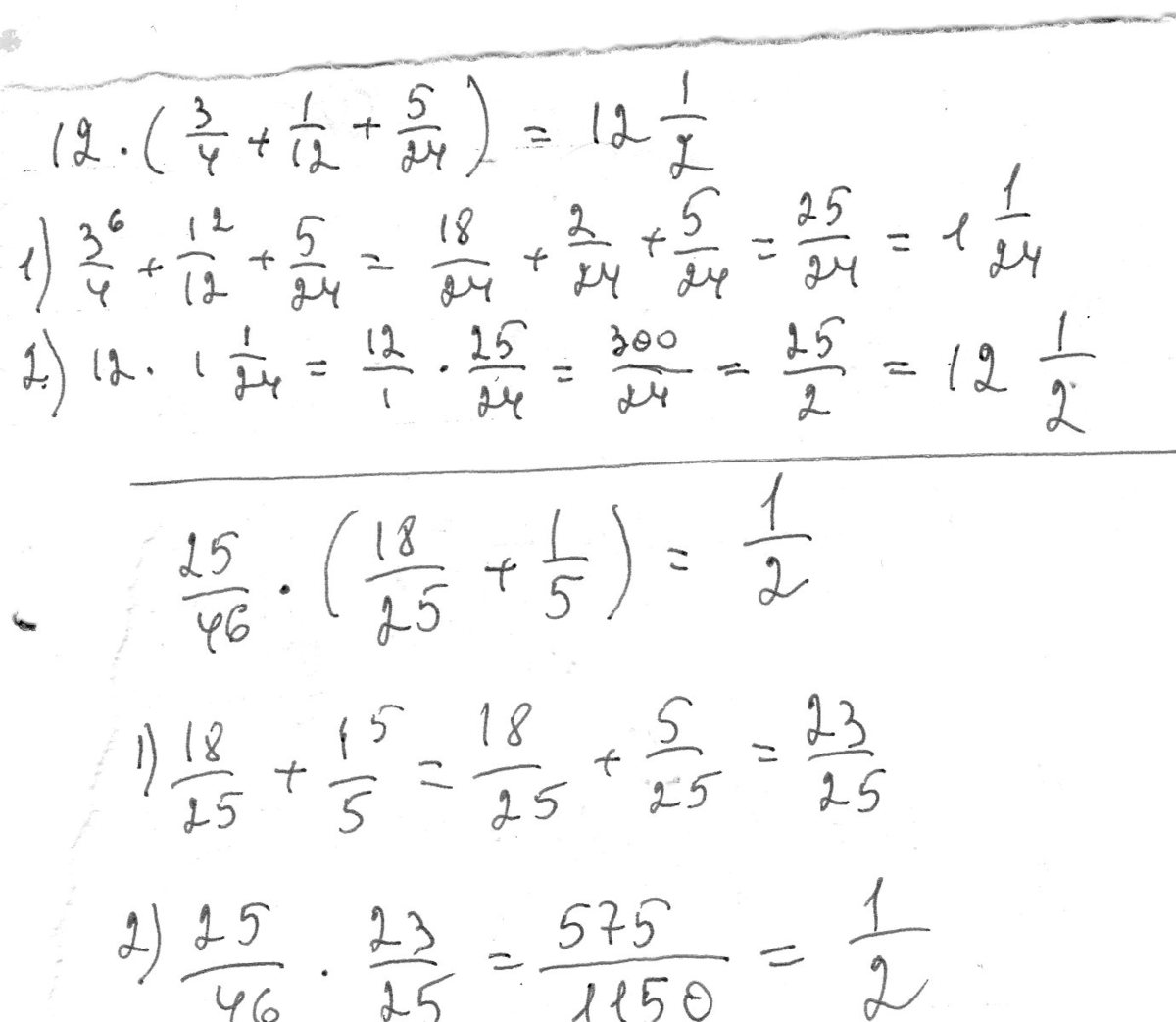
в) 12*(3/4+1/12+5/24)
г) 25/46*(18/25+1/5)
Пожалуйста!!! По действиям побыстрей только пожалуйста!!!!!!

Ответы

Ответ дал: Nastya171167
1
смотри решение во вложении
Приложения:
Вас заинтересует