• Предмет: Алгебра
  • Автор: Kaaraatee
  • Вопрос задан 2 года назад

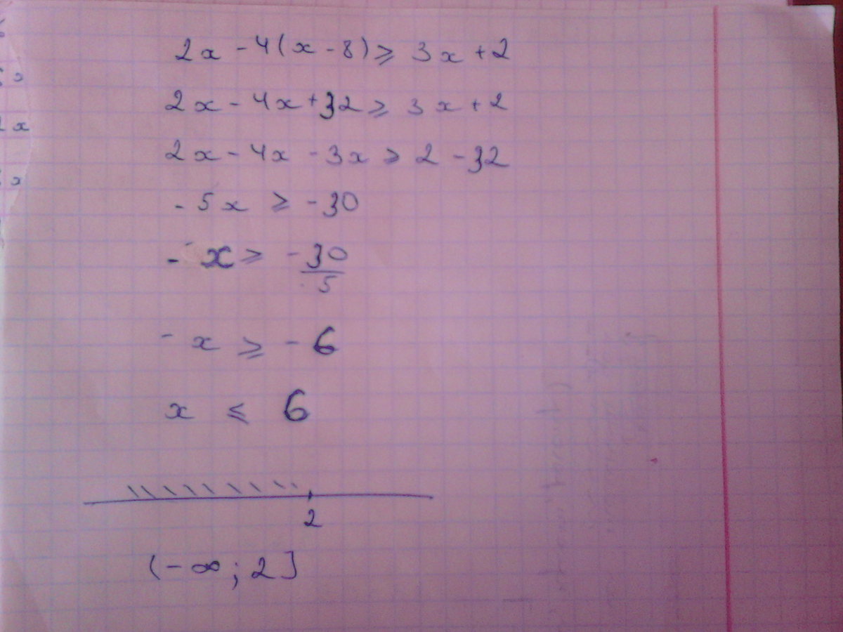
решите неравенство 2x-4(x-8)больше равно 3x+2


Клубничкa: 2х-4(х-8)=3х+2
Клубничкa: Сейчас решу.
Kaaraatee: больше равно
study1215: а тебе решение нужно или только ответ
study1215: ???

Ответы

Ответ дал: kseniya849
15
Полноценное решение.....
Приложения:
Вас заинтересует