• Предмет: Математика
  • Автор: jade6262
  • Вопрос задан 11 лет назад

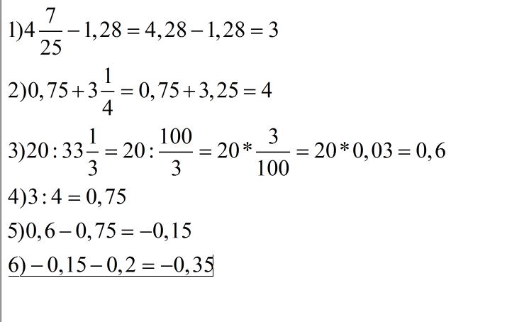
1)20:33 1/3-(4 7/25-1,28):(0,75+3 1/4)-0,2=?

Ответы

Ответ дал: triolana
0

=============================================

Приложения:
Вас заинтересует