Ответы
Ответ дал:
0
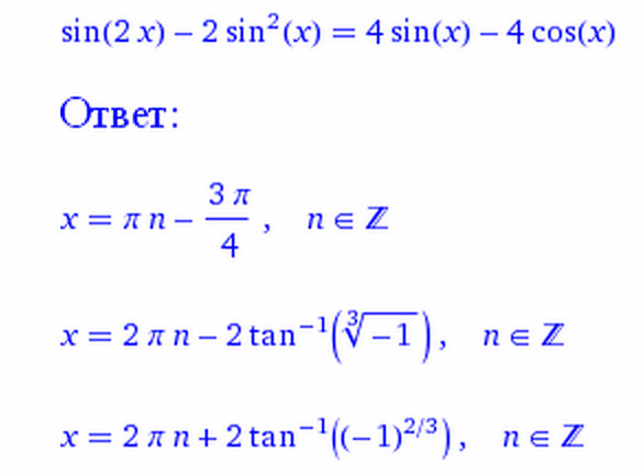
Ответ на второе уравнение
Приложения:

Вас заинтересует
2 года назад
2 года назад
2 года назад
7 лет назад
7 лет назад