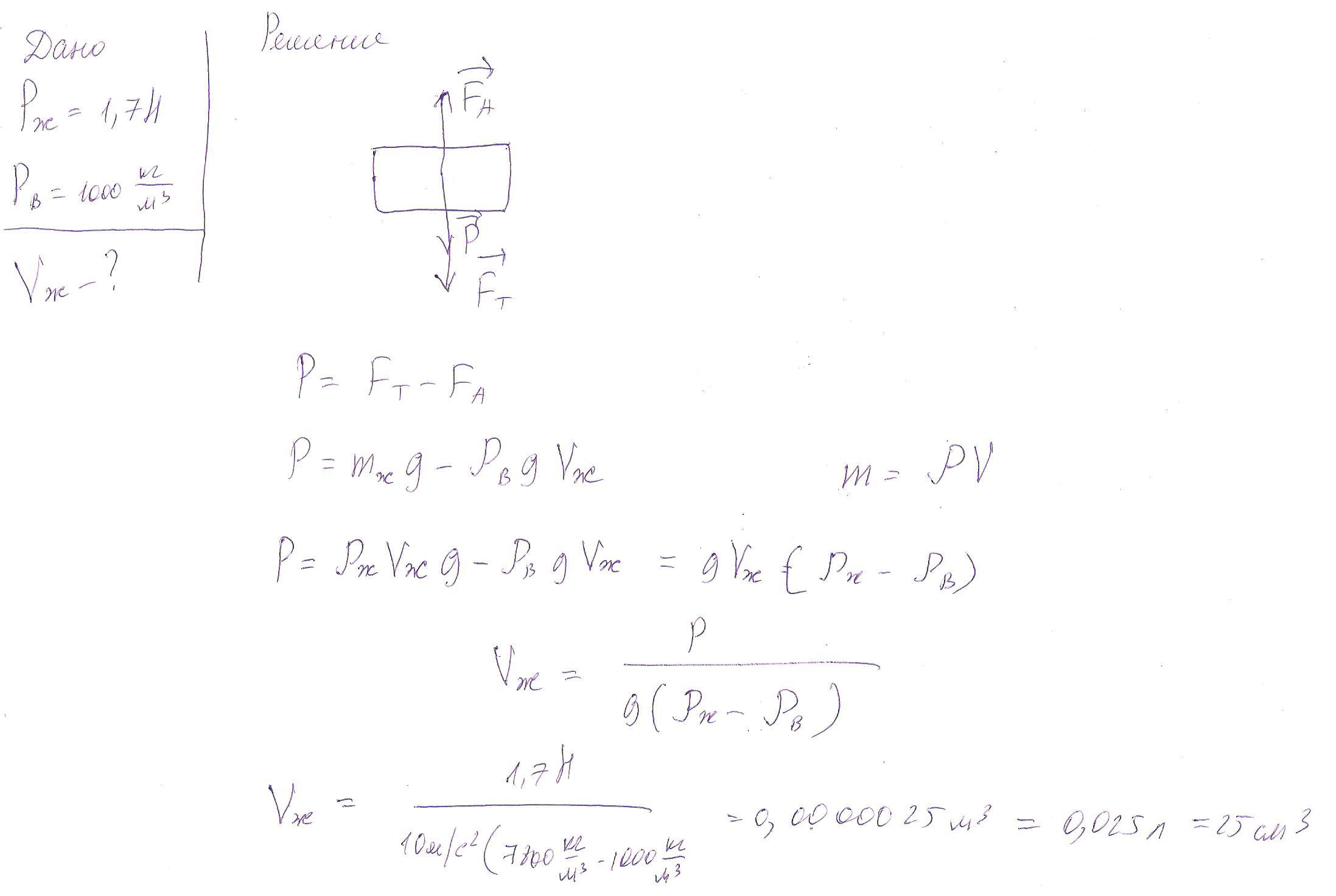
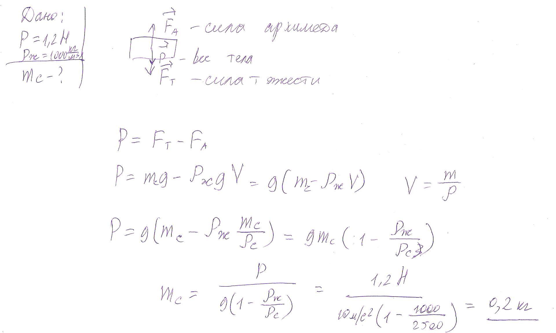
Ребята!Мы проходим архимедову силу и я не могу понять как решать такие задачи.Объясните пожалуйста, не пишите только решение, объясните еще!Буду искренне благодарен, для вас задачки очень легкие! 1)Кусок стекла в воде весит 1,2H.Определите массу стекла. 2)Кусок железа в воде весит 1,7Н.Определите объем железа.
Ответы
Ответ дал:
0
суть в том, что вес тела - это результирующа сила между силой тежести и силой Архимеда, то есть если вес больше нуля, то он равен разности между силой тяжести и силой Архимеда, расписываем эти силы по формулам; еще пригодится формула плотности
Приложения:


Вас заинтересует
2 года назад
2 года назад
8 лет назад
10 лет назад
10 лет назад