Решите уравнение, введя новую переменную.
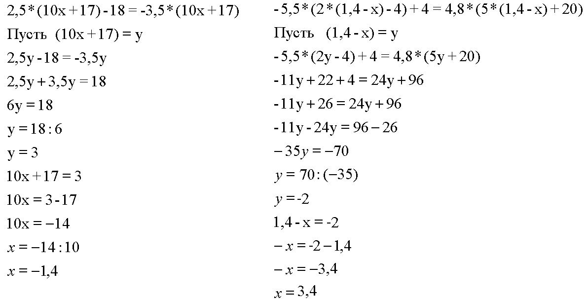
2,5*(10x+17)-18=-3,5*(10x+17)
-5,5*(2*(1,4-x)-4)+4=4,8*(5*(1,4-x)+20)
Ответы
Ответ дал:
1
2,5 * (10х+17)-18=-3,5 * (10х+17)
Пусть а=10х+17
2,5а-18=-3,5а
2,5а+3,5а=18
6а=18
а=3
3=10х+17
3-17=10х
-14=10х
х=-1,4
Ответ: -1,4
б) -5,5 * (2*(1,4-х)-4)+4=4,8*(5*(1,4-х)+20)
Пусть а=1,4-х
-5,5*(2а-4)+4=4,8*(5а+20)
-11а+22+4=24а+96
-11а-24а=96-26
-35а=70
а=-2
-2=1,4-х
-2-1,4=-х
-3,4=-х
х=3,4
Ответ: 3,4
Пусть а=10х+17
2,5а-18=-3,5а
2,5а+3,5а=18
6а=18
а=3
3=10х+17
3-17=10х
-14=10х
х=-1,4
Ответ: -1,4
б) -5,5 * (2*(1,4-х)-4)+4=4,8*(5*(1,4-х)+20)
Пусть а=1,4-х
-5,5*(2а-4)+4=4,8*(5а+20)
-11а+22+4=24а+96
-11а-24а=96-26
-35а=70
а=-2
-2=1,4-х
-2-1,4=-х
-3,4=-х
х=3,4
Ответ: 3,4
tjttjthtsy:
Огромное Вам спасибо!
Ответ дал:
1
...................................................
Приложения:
Вас заинтересует
2 года назад
2 года назад
2 года назад
2 года назад
7 лет назад
9 лет назад
9 лет назад