Ответы
Ответ дал:
1
приведем все слагаемые к степени двойки:
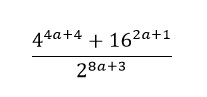
4^(4a+4) = 2^(8a+8)
16^(2a+1) = 2^(8a+4)
делим дробь на 2^(8a)
получаем
(2^8 + 2^4) / 2^3, делим еще раз на 2^3
2^5 + 2 = 32 + 2 = 34
4^(4a+4) = 2^(8a+8)
16^(2a+1) = 2^(8a+4)
делим дробь на 2^(8a)
получаем
(2^8 + 2^4) / 2^3, делим еще раз на 2^3
2^5 + 2 = 32 + 2 = 34
Вас заинтересует
2 года назад
2 года назад
2 года назад
2 года назад
7 лет назад
7 лет назад
9 лет назад