Математический маятник. Помогите пожалуйста!
Прошу прощения за опечатки) "Длиной"
Приложения:


Ответы
Ответ дал:
1
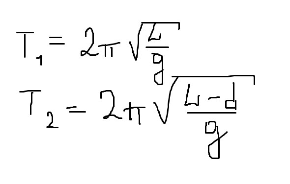
период колебаний данной системы равен сумме полупериодов колебаний маятника при длине нити при L и L-d
то есть из формулы колебаний T=T1\2+T2\2
где T1=2*pi*корень из L\g
T2=2*pi*корень из (L-d)\g
то есть из формулы колебаний T=T1\2+T2\2
где T1=2*pi*корень из L\g
T2=2*pi*корень из (L-d)\g
Вас заинтересует
2 года назад
2 года назад
2 года назад
2 года назад
7 лет назад
7 лет назад
9 лет назад
9 лет назад
надо тупо сложить два полупериода 2 маятников