• Предмет: Математика
  • Автор: BJIADA
  • Вопрос задан 2 года назад

Решите неравенство, пожалуйста
(2x-1)^3-4x^2(2x-3)


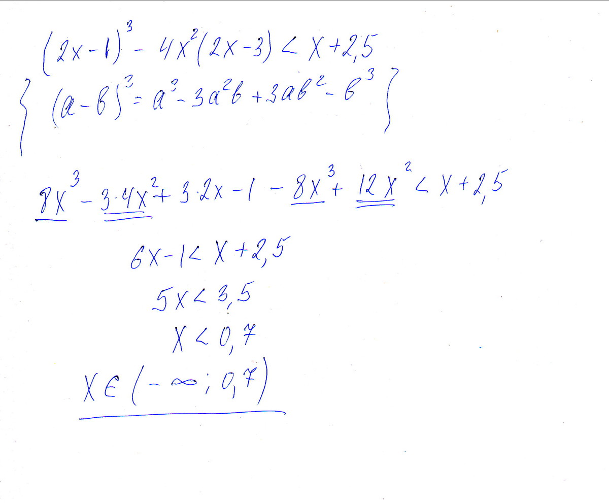
BJIADA: (2x-1)^3-4x^2(2x-3)<x+2.5
BJIADA: вот это полное неравенство

Ответы

Ответ дал: vovar3573
2
Члены третьей и второй степени взаимно уничтожаются и неравенство превращается в линейное (см.рис)
Приложения:
Вас заинтересует