• Предмет: Алгебра
  • Автор: kuricinvadim
  • Вопрос задан 3 года назад

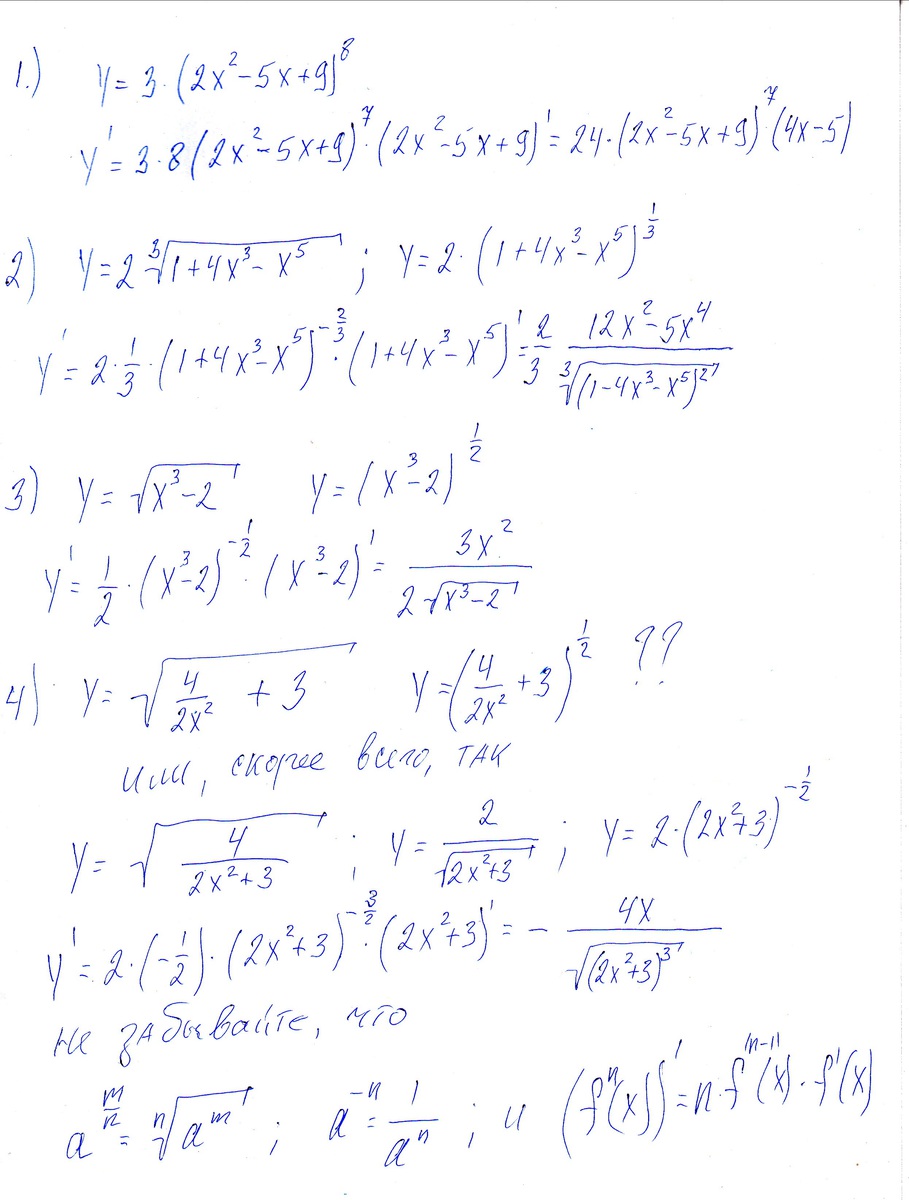
производная сложной функции.
1. y=3(2x²-5x+9)^8 ^8- ето в восьмой степени
2. y=2∛1+4x³-x^5 ето все под корнем
3. y=√x³-2
4. y=√4÷2x²+3
пожалуста помогите очень срочно надо дам еще 50 балов


kiwa: два последних примера непонятно задание, особенно последний

Ответы

Ответ дал: vovar3573
2
Вот, согласен, последнее явно без скобочек в нужных местах, но, если правильно разобрал, то .... 
Приложения:
Вас заинтересует