• Предмет: Алгебра
  • Автор: лиана1ё
  • Вопрос задан 3 года назад

УПРОСТИТЕ ВЫРАЖЕНИЕ!!!
 (sin a + cos a ) ^{2} + ( sin a - cos a ) ^{2}

Ответы

Ответ дал: Аноним
2
sin²a+2sinacosa+cos²a+sin²a-2sinacosa+cos²a=1+1=2

лиана1ё: спасибо большое)
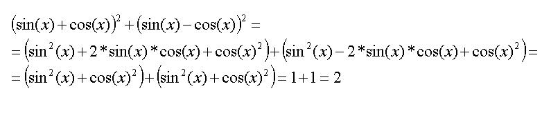
Ответ дал: IUV
2
***************************
Приложения:

IUV: спасибо за лучший
Вас заинтересует