• Предмет: Алгебра
  • Автор: vavava12013
  • Вопрос задан 3 года назад

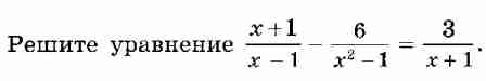
помогите решить уравнение

Приложения:

Ответы

Ответ дал: andy111201
1
Ответ в приложении на фото
Приложения:

vavava12013: Сппасибо
Вас заинтересует