Ответы
Ответ дал:
121
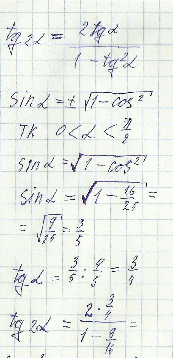
sina=√1-cos²a=√1-16/25=√9/25=3/5
tga=sina/cosa=3/5:4/5=3/5*5/4=3/4
tg2a=2tga/(1-tg²a)=2*3/4:(1-9/16)=3/2:7/16=3/2*16/7=24/7
tga=sina/cosa=3/5:4/5=3/5*5/4=3/4
tg2a=2tga/(1-tg²a)=2*3/4:(1-9/16)=3/2:7/16=3/2*16/7=24/7
Аноним:
Ошибочка есть...
Ответ дал:
32
_____________________________
Приложения:
Вас заинтересует
2 года назад
2 года назад
2 года назад
2 года назад
7 лет назад
7 лет назад
9 лет назад