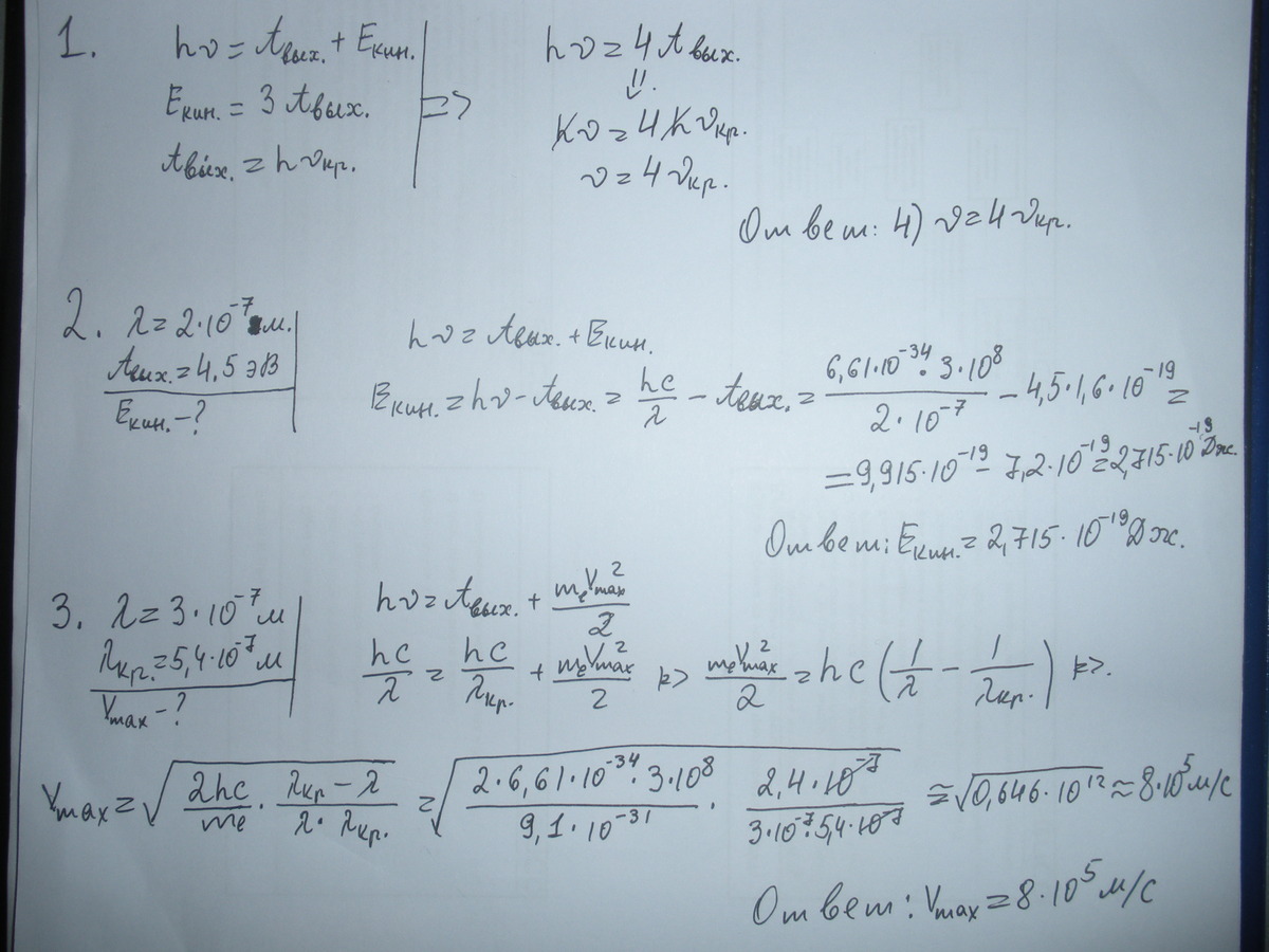
Какова максимальная скорость электронов, выбиваемых из металлической пластины светом с длиной волны лямбда = 3 х 10^-7 м, если красная граница фотоэффекта лямбда красная = 540 нм?
Ответы
Ответ дал:
17
Вот, смотри, третья задача в прикреплённом файле :
Приложения:
Вас заинтересует
2 года назад
2 года назад
2 года назад
2 года назад
7 лет назад
7 лет назад
9 лет назад
9 лет назад