Ответы
Ответ дал:
1
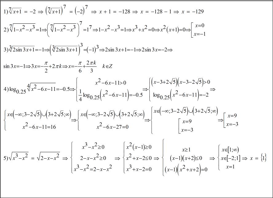
1)x+1=-128
x=-129
2)1-x²-x³=1
x²+x³=0
x²(1+x)=0
x=0 U x=-1
3)2sin3x+1=-1
2sin3x=-2
sin3x=-1
3x=-π/2+2πn
x=-π/6+2πn/3
4)ОДЗ x²-6x-11≥0
D=36+44=80
x1=(6-2√10)/2=3-√10
x2=3+√10
x∈(-∞;3-√10] U [3+√10;∞)
x²-6x-11=16
x²-6x-27=0
x1+x2=6 U x1*x2=-27
x1=-3 U x2=9
5)ОДЗ x³-x²≥0⇒x²(x-1)≥0x=0 U x=1
_ _ +
------------------------------------------------
0 1
x≥1
x²+x-2≤0
x1+x2=-1 U x1*x2=-2⇒x1=-2 U x2=1
-2≤x≤1
Ответ х=1
x=-129
2)1-x²-x³=1
x²+x³=0
x²(1+x)=0
x=0 U x=-1
3)2sin3x+1=-1
2sin3x=-2
sin3x=-1
3x=-π/2+2πn
x=-π/6+2πn/3
4)ОДЗ x²-6x-11≥0
D=36+44=80
x1=(6-2√10)/2=3-√10
x2=3+√10
x∈(-∞;3-√10] U [3+√10;∞)
x²-6x-11=16
x²-6x-27=0
x1+x2=6 U x1*x2=-27
x1=-3 U x2=9
5)ОДЗ x³-x²≥0⇒x²(x-1)≥0x=0 U x=1
_ _ +
------------------------------------------------
0 1
x≥1
x²+x-2≤0
x1+x2=-1 U x1*x2=-2⇒x1=-2 U x2=1
-2≤x≤1
Ответ х=1
Ответ дал:
1
решение смотри во вложении..............
Приложения:

Вас заинтересует
2 года назад
2 года назад
2 года назад
9 лет назад