выполните действия:
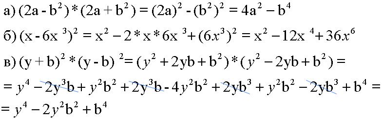
а) (2а-b в квадрате)*(2а+b в квадрате)
б) (x-6x в кубе)в квадрате
в) (y+b)в квадрате*(y-b) в квадрате
Ответы
Ответ дал:
14
//////////////////////////////
Приложения:

Вас заинтересует
2 года назад
2 года назад
2 года назад
2 года назад
7 лет назад
7 лет назад
9 лет назад
9 лет назад