Ответы
Ответ дал:
1
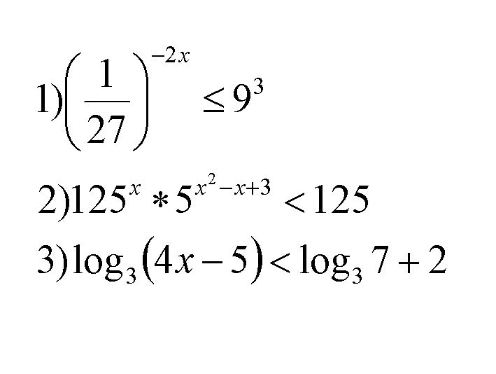
Решение на фотографии.
Приложения:



ilyafanwwe3:
Спасибо большое.
Вас заинтересует
2 года назад
2 года назад
2 года назад
7 лет назад
7 лет назад