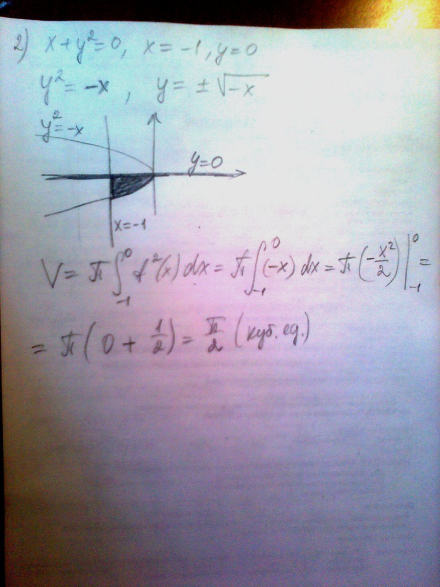
подробно.вычислить объем тела образованного вращением вокруг оси ox кривой L 1) x-y^2=0 .x=0 .y= - 1 . 2)x+y^2=0 . x= - 1 . y=0 Заранее спасибо)))
granny23:
Извините, но мне непонятно чем в №1 параболоид, накрученный вокруг оси Ox, ограничен справа
Ответы
Ответ дал:
1
смотри решение на фото
Приложения:


Вас заинтересует
2 года назад
2 года назад
2 года назад
2 года назад
7 лет назад
9 лет назад