Ответы
Ответ дал:
0
a)1/(a-b)(b-c)+1/(b-c)(c-a)-1/(c-a)(a-b)=0
c-a+a-b+b-c/(a-b)(b-c)(c-a)=0
c-a+a-b+b-c/(a-b)(b-c)(c-a)=0
ZaurChikDzgo:
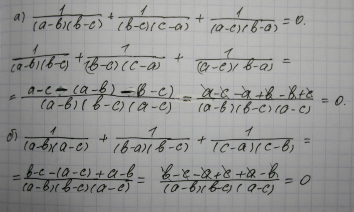
а б)
Ответ дал:
1
Решение задания в файле.
Приложения:

Вас заинтересует
2 года назад
2 года назад
2 года назад
2 года назад
7 лет назад
7 лет назад
9 лет назад