• Предмет: Алгебра
  • Автор: Calipso747
  • Вопрос задан 3 года назад

Помогите. Даю все что есть!!!!!!!!!

Приложения:

Ответы

Ответ дал: prostotom
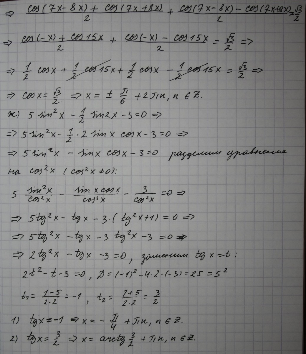
1
Подробное решение в файлах.
Приложения:
Ответ дал: Аноним
1
/////////////////////////////
Приложения:
Вас заинтересует