• Предмет: Алгебра
  • Автор: dionixor
  • Вопрос задан 3 года назад

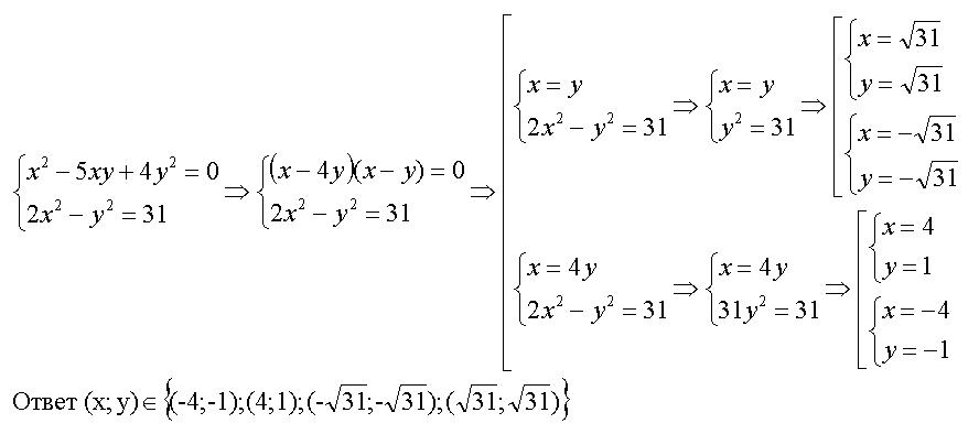
ПОДРОБНО решить систему уравнений.

Приложения:

Ответы

Ответ дал: IUV
0
*********************************
Приложения:
Вас заинтересует