Ответы
Ответ дал:
1
решение во вложения.… ..
Приложения:
Ответ дал:
1
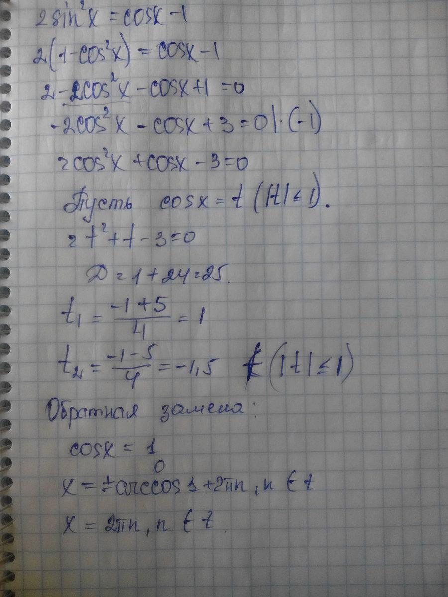
2sin²X= cosX-1 sin²X= 1 - cos²X подставим в уравнение , получим :
2( 1- cos²X )=cosX-1
2-2cos²X=cosX-1
2cos²X+cosX -3=0 Вводим замену :cosx= y
2y²+y-3=0
D=1-4·2·(-3)=25 √D=5
у1=1 у2=-1,5 ( не является корнем , т. к -1 ≤ cosx≤1)
Возвращаемся к замене:
cosx =y1
cosx=1
x=arkcos1+2πn n∈целым числам
х=2πn n∈ целым числам
2( 1- cos²X )=cosX-1
2-2cos²X=cosX-1
2cos²X+cosX -3=0 Вводим замену :cosx= y
2y²+y-3=0
D=1-4·2·(-3)=25 √D=5
у1=1 у2=-1,5 ( не является корнем , т. к -1 ≤ cosx≤1)
Возвращаемся к замене:
cosx =y1
cosx=1
x=arkcos1+2πn n∈целым числам
х=2πn n∈ целым числам
Вас заинтересует
2 года назад
2 года назад
2 года назад
7 лет назад
9 лет назад
9 лет назад