Ответы
Ответ дал:
2
a) n²+10n+25=0
D=b²-4ac
D=(10)²-4*1*25=100-100=0
D=0, уравнение имеет два совпадающих корня
x1=x2=- b
2a
x1=x2=- 10
2*1
x1=5 ; x2-5
D=b²-4ac
D=(10)²-4*1*25=100-100=0
D=0, уравнение имеет два совпадающих корня
x1=x2=- b
2a
x1=x2=- 10
2*1
x1=5 ; x2-5
Ответ дал:
6
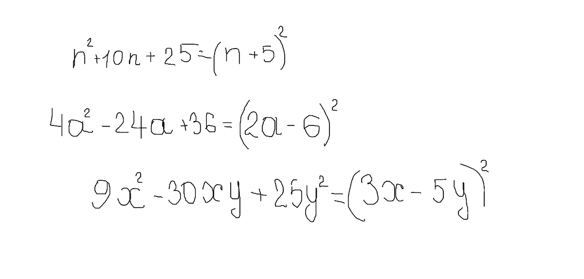
Думаю, что решать квадратное уравнение не нужно.
В задании ясно сказано: ".. в виде квадрата двучлена."
Значит просто свернуть по формуле.
В задании ясно сказано: ".. в виде квадрата двучлена."
Значит просто свернуть по формуле.
Приложения:
BMWxDrive:
Спасибо большое!!!
Вас заинтересует
2 года назад
2 года назад
2 года назад
7 лет назад
7 лет назад
9 лет назад