• Предмет: Алгебра
  • Автор: Анастасия727f
  • Вопрос задан 3 года назад

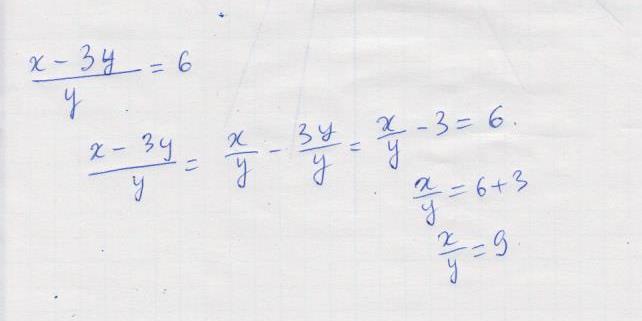
зная, что x- 3y / y =6, найдите x/y

Ответы

Ответ дал: belcatya
0
решение  в приложении:
Приложения:
Вас заинтересует