Ответы
Ответ дал:
7
Ответ: x = -1, x = 4......
Приложения:

Ответ дал:
4
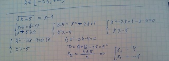
(х+5)=(х-1)^2 при х> -5 Решаем квадратное уравнение х^2-2x+1-x-5=0
x^2-3x-4=0 Дискриминант равен 9+4*4=25
х=(3+5)/2=4 х=(3-5)/2= -1
Ответ -1;4
x^2-3x-4=0 Дискриминант равен 9+4*4=25
х=(3+5)/2=4 х=(3-5)/2= -1
Ответ -1;4
Вас заинтересует
2 года назад
2 года назад
2 года назад
2 года назад
7 лет назад
7 лет назад
9 лет назад