• Предмет: Алгебра
  • Автор: dsadasd1
  • Вопрос задан 2 года назад

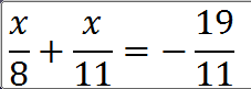
Найдите общий знаменатель и решите уравнение.

Приложения:

Ответы

Ответ дал: vasyapetrov19
0
Общий знаменатель 88

11x/88+8x/88=-152/88
19x/88=-152/88
1672x=-13376
x=-8
Ответ дал: MenPelmen
0
 \frac{x}{8} +  \frac{x}{11} =- \frac{19}{11}
НОД (8; 11; 11) = 88
 \frac{11x}{88} +  \frac{8x}{88}<br /> -\frac{152}{88} 
 \frac{19x}{88} <br />- \frac{152}{88} 
19x:88<br />-152:88
19x=-152:88*88
 
19х=152
х= \frac{152}{19}
x=8
Вас заинтересует