Ответы
Ответ дал:
1
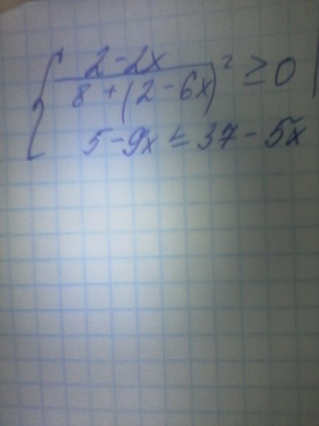
(2 - 2x) / ( 8 + (2 - 6x)^2) ≥0 | * (8 + (2-6x)^2)
5 - 9x≤37 - 5x
==========
2 - 2x ≥ 0 | /2
-9x +5x ≤37-5
==========
1 - x ≥0
-4x ≤ 32
==========
-x≥-1
x≥-8
=======
x≤1
x≥-8
======
-8 \\\\\\\\\\\\\\\\\\\\\\\\\\\\ 1
----------------- --------------------------------- ------------------------->
//////////////////////////////
x∈[-8;1]
5 - 9x≤37 - 5x
==========
2 - 2x ≥ 0 | /2
-9x +5x ≤37-5
==========
1 - x ≥0
-4x ≤ 32
==========
-x≥-1
x≥-8
=======
x≤1
x≥-8
======
-8 \\\\\\\\\\\\\\\\\\\\\\\\\\\\ 1
----------------- --------------------------------- ------------------------->
//////////////////////////////
x∈[-8;1]
Вас заинтересует
2 года назад
2 года назад
2 года назад
2 года назад
7 лет назад
9 лет назад