Ответы
Ответ дал:
1
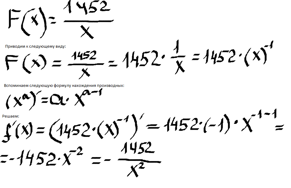
Надеюсь, что всё понятно расписала (решение в файлике). Если появятся вопросы, то пиши. Удачи в решениях! Darknight (Sunny Storm)
Приложения:

Аноним:
Спасибо, ты очень понятно расписал :))
Вас заинтересует
2 года назад
2 года назад
2 года назад
9 лет назад
9 лет назад