• Предмет: Алгебра
  • Автор: ivan34kalinin
  • Вопрос задан 3 года назад

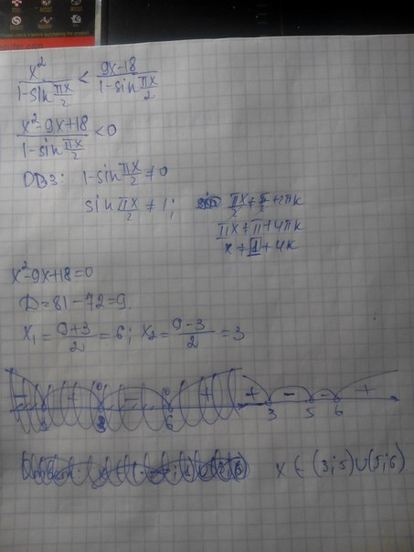
решите пожалуйста неравенство:x^2/(1-sin(Px)/2)>9x.......

Приложения:

Ответы

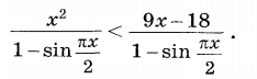
Ответ дал: SuslikAndSuslik
1
решение на фото.....
Приложения:
Ответ дал: Аноним
1
решение во вложении…….
Приложения:
Вас заинтересует