• Предмет: Алгебра
  • Автор: OlgaDmit
  • Вопрос задан 3 года назад

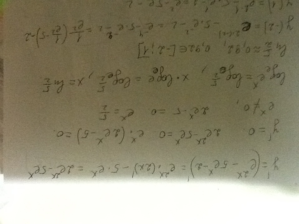
найдите наименьшее значение функции y=e^2x-5e^x-2 на отрезке [-2;1]

Ответы

Ответ дал: kirichekov
1
-------------------------------
Приложения:

kirichekov: Вычислительная ошибка(((((((((
OlgaDmit: спасибо)))
Ответ дал: antonovm
1
решение на фото""""""""""""""""""""""""""""""""""""""""""""""""""""""""""
Приложения:

OlgaDmit: спасибо)))
Вас заинтересует