• Предмет: Алгебра
  • Автор: sma29101998
  • Вопрос задан 3 года назад

срочно решите пожалуйста

Приложения:

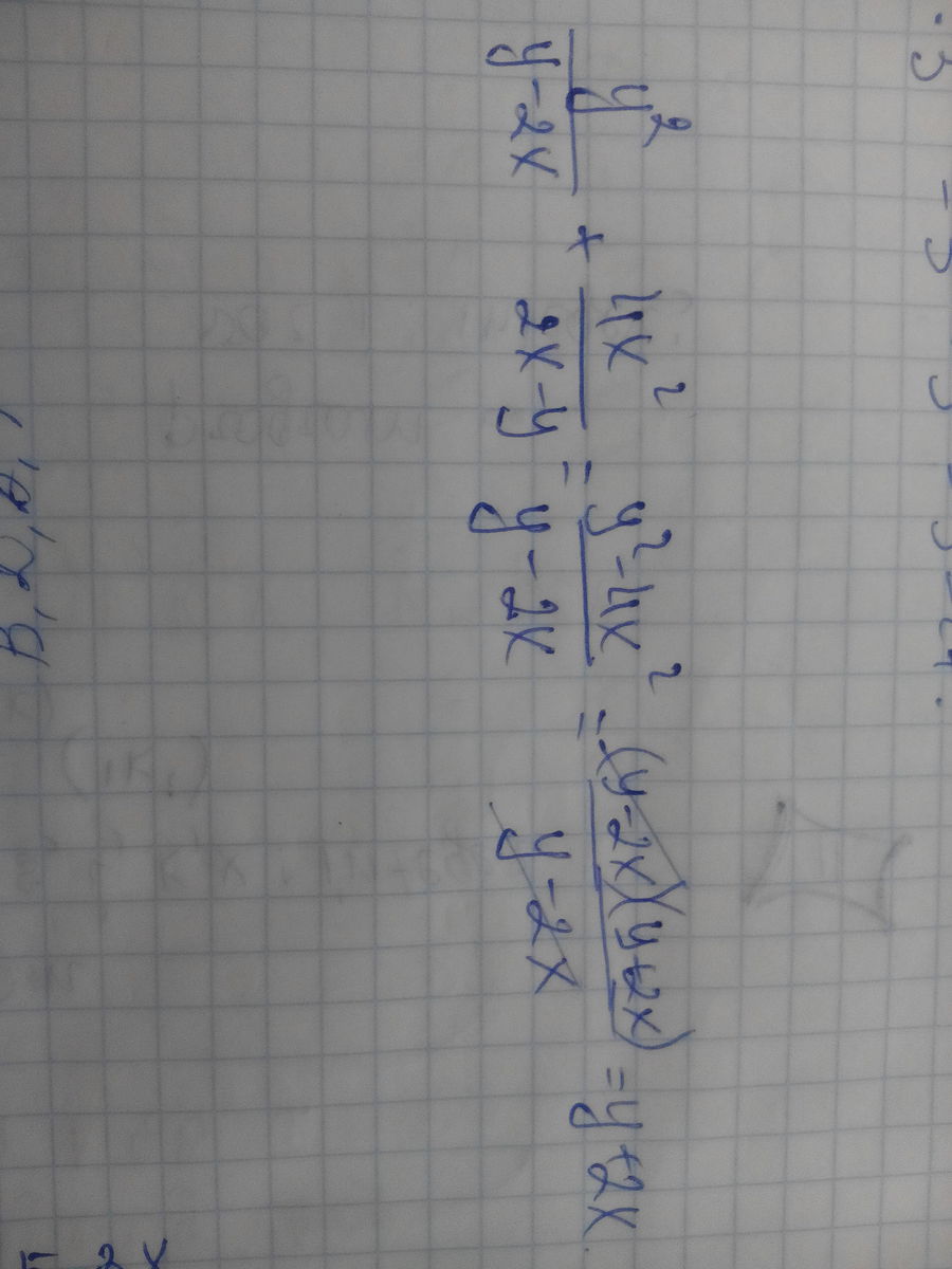
romanovakate57: под номером 2) y+2x
sma29101998: мне надо расписать
romanovakate57: ну сейчас приду и скину
romanovakate57: y²/y-2x + 4x²/2x-y=y²/y-2x - 4x²/y-2x = y²-4x²/y-2x = (y-2x)(y+2x)/y-2x =y+2
romanovakate57: / это черта дроби

Ответы

Ответ дал: Rina1456
0
(Y+2x)(y-2x)/2x-y=y+2x. Ответ:2
Ответ дал: Аноним
0
решение во вложении…..
Приложения:
Вас заинтересует