• Предмет: Математика
  • Автор: medora2000
  • Вопрос задан 11 лет назад

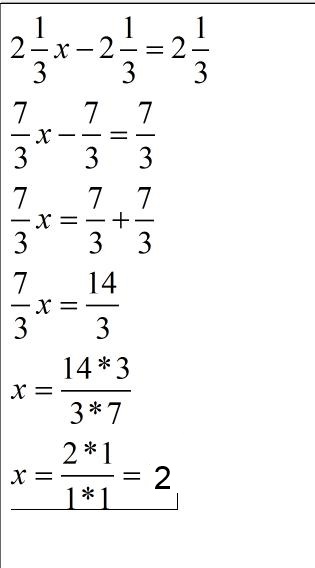
Номер 635 а,б,в умоляю решите решать по действиям

 

Приложения:

Ответы

Ответ дал: triolana
0

=========================================================

Приложения:
Вас заинтересует