Ответы
Ответ дал:
0
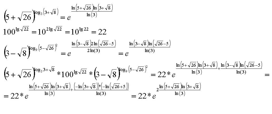
если в ответе должно получиться 22, то опечатка в условии (я проверил калькулятором)
предлагаю варианты исправления (выбрать один), которые приводят к ответу 22
1) один любой из знаков + или - поменять на противоположный
2) логарифм по основанию 3 заменить на логарифм по основанию 1/3
3) логарифм по основанию 9 заменить на логарифм по основанию 1/9
предлагаю варианты исправления (выбрать один), которые приводят к ответу 22
1) один любой из знаков + или - поменять на противоположный
2) логарифм по основанию 3 заменить на логарифм по основанию 1/3
3) логарифм по основанию 9 заменить на логарифм по основанию 1/9
Приложения:

Вас заинтересует
2 года назад
2 года назад
2 года назад
2 года назад
7 лет назад
7 лет назад
9 лет назад