• Предмет: Математика
  • Автор: seliverstovdim
  • Вопрос задан 3 года назад

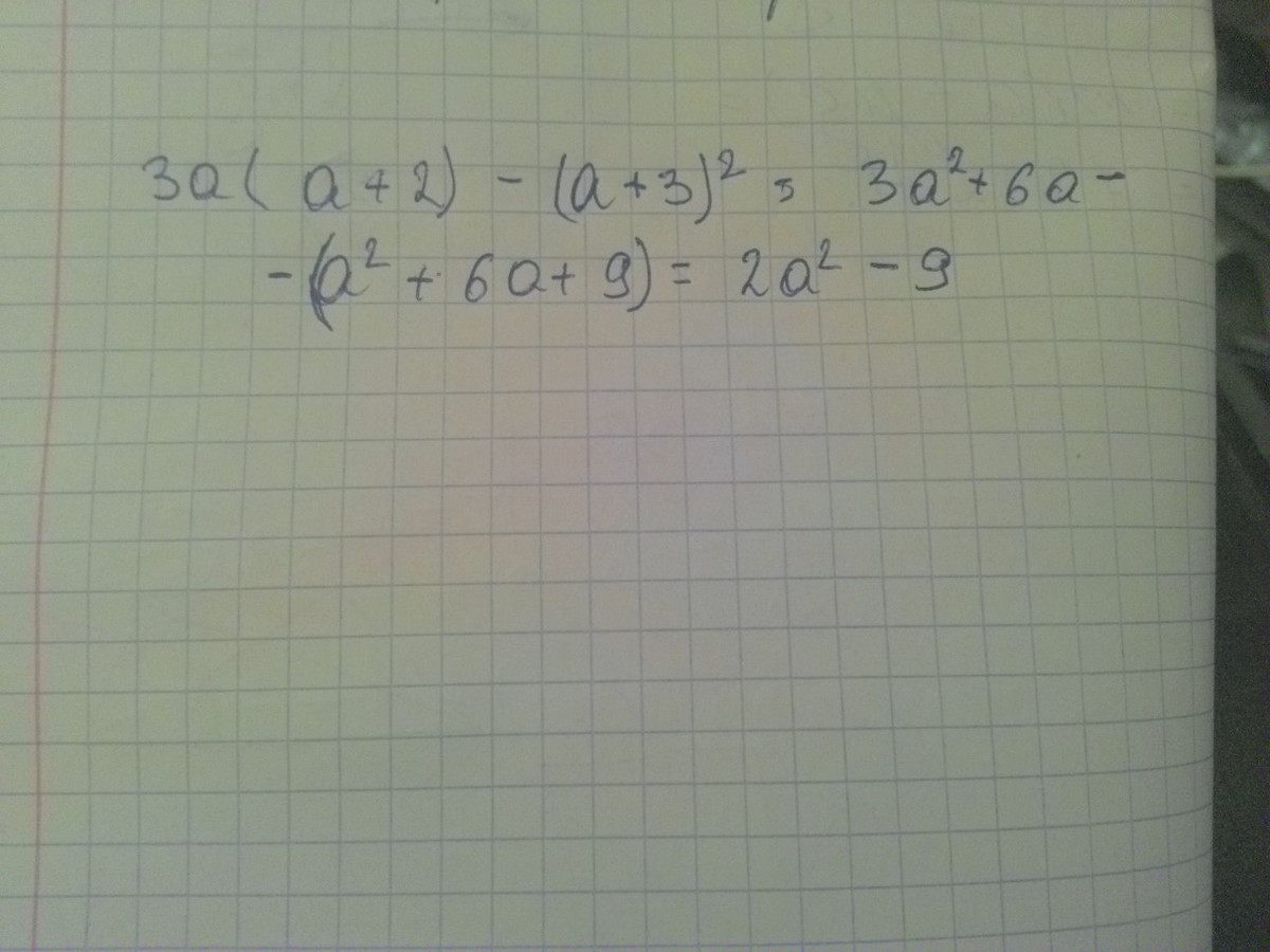
упростите выражение: 
3a(a+2)-(a+3)^2 помогите ребзя

Ответы

Ответ дал: ssvetik12345
0
3а в квадрате+6а- а в квадрате -6а-6=2а в квадрате-6.
Ответ дал: lareok
1
как-то так получается. елементарно на самом деле)
Приложения:
Вас заинтересует