• Предмет: Физика
  • Автор: olololik
  • Вопрос задан 11 лет назад

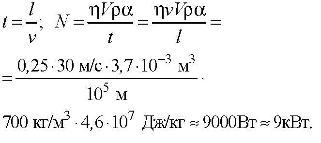
Какую среднюю мощность развивает двигатель мотоцикла, если при скорости движения 108 км/ч расход бензина составляет 3,7 л на 100 км пути, а КПД двигателя 25% ?

Ответы

Ответ дал: pearl7
0

Ответ будет таковым: N = 9 кВт.

Приложения:
Вас заинтересует