ОЧЕНЬ НУЖНА ПОМОЩЬ, ЗАВТРА ЗАЧЕТ... составить уровнения окислительно-восстановительных реакциий используя метод электронного баланса.
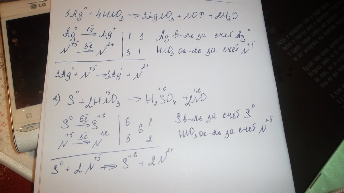
Ag + HNO3 = AgNO3 + NO + H2O
S+HNO3 = H2SO4 + NO
C + H2SO4 = CO2 + SO2 + H2O
Zn + HNO3 = ... +NO+...
решите хотя бы несколько, пожалуйста..
Ответы
Ответ дал:
0
решение на фото)))))))))))
Приложения:


Вас заинтересует
2 года назад
8 лет назад
8 лет назад
10 лет назад
10 лет назад