Ответы
Ответ дал:
1
1/(x+1)=(9x-3+3)/(3x-1)
1/(x+1)=9x/(3x-1)
(x+1)9x=3x-1
9x^2+9x=3x-1
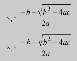
9x^2+6x+1=0
Корни ищешь по формуле ,что на картинке
1/(x+1)=9x/(3x-1)
(x+1)9x=3x-1
9x^2+9x=3x-1
9x^2+6x+1=0
Корни ищешь по формуле ,что на картинке
Приложения:

Вас заинтересует
2 года назад
2 года назад
2 года назад
2 года назад
7 лет назад
7 лет назад
9 лет назад