• Предмет: Алгебра
  • Автор: hartmannnastya
  • Вопрос задан 3 года назад

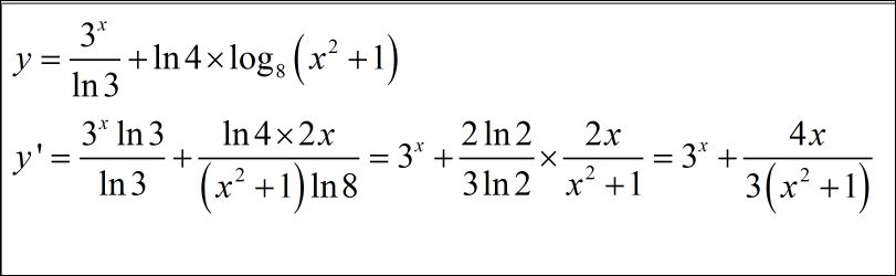
вычислите значение производной функции y=3^x/ln 3 +ln 4 log8 (x^2+1)
ОЧЕНЬ СРОЧНО!!!

Ответы

Ответ дал: Аноним
0
решение смотри во вложении.................
Приложения:

hartmannnastya: спасибо большое)
Аноним: на здоровье
Вас заинтересует