Нужно найти неопределенный интеграл. Заранее спасибо :)
Пожалуйста распишите ваше решение
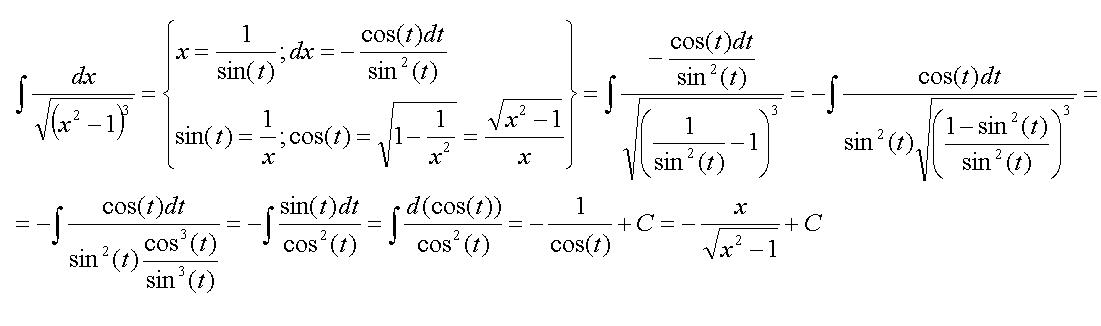
Приложения:
Ответы
Ответ дал:
1
*********************************
Приложения:
Вас заинтересует
2 года назад
2 года назад
2 года назад
2 года назад
7 лет назад
7 лет назад
9 лет назад