помогите найти производные функций:напишите более подробно,лучше решение на фото....
Приложения:
Ответы
Ответ дал:
0
2
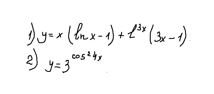
y`=(3^cos²4x)`*(cos²4x)`*(cos4x)`*(4x)`=
=3^cos²4x *ln3*2cos4x*(-sin4x)*4=
=-4sin8x*ln3*3^cos²4x
1
y`=(x)`*(lnx-1)+x*(lnx-1)`+(e^3x)`*(3x)`*(3x-1)+e^3x *(3x-1)`=
=lnx-1+x*1/x+3e^3x*(3x-1)+3*e^3x=
=lnx-1+1+e^3x*(9x-3+3)=lnx+9x*e^3x
y`=(3^cos²4x)`*(cos²4x)`*(cos4x)`*(4x)`=
=3^cos²4x *ln3*2cos4x*(-sin4x)*4=
=-4sin8x*ln3*3^cos²4x
1
y`=(x)`*(lnx-1)+x*(lnx-1)`+(e^3x)`*(3x)`*(3x-1)+e^3x *(3x-1)`=
=lnx-1+x*1/x+3e^3x*(3x-1)+3*e^3x=
=lnx-1+1+e^3x*(9x-3+3)=lnx+9x*e^3x
Вас заинтересует
2 года назад
2 года назад
2 года назад
2 года назад
7 лет назад
7 лет назад
9 лет назад