• Предмет: Математика
  • Автор: freaker230
  • Вопрос задан 3 года назад

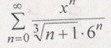
Найти интервал сходимости степенного ряда и исследовать его на концах

Приложения:

Ответы

Ответ дал: nafanya2014
2
a_n= \frac{1}{ \sqrt[3]{n+1} \cdot6 ^{n} }
тогда
a_{n+1}= \frac{1}{ \sqrt[3]{(n+1)+1} \cdot6 ^{n+1} }
R= \lim_{n \to \infty}  \frac{a_n}{a_{n+1}}= \lim_{n \to \infty} \frac{ \frac{1}{ \sqrt[3]{n+1} \cdot 6 ^{n}} }{ \frac{1}{ \sqrt[3]{n+2} \cdot6 ^{n+1} }}=6
Интервал сходимости (-6;6)
При х=-6
Получим знакочередующийся ряд, который сходится по признаку Лейбница
При х=6 ряд расходится по интегральному признаку.


Вас заинтересует